幼儿园教师资格证考试分数怎么算 幼师证考试分数换算公式
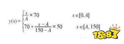
教育部考试中心根据考试标准和当次考试情况,确定各科目全国统一的合格分数线。由于各个科目难度存在差异,其合格分数线不尽相同。为统一各科目的合格分数线,采用线性转换的方法,将考生0~150分量表上的原始成绩换算为0~120分量表上的转换分,并使各科目的合格分数线统一转换为70分。

分数转换方法如下:
设某科目原始成绩合格分数线为A。

通过上述线性转换,各科目的合格分数线均转换为70分,且转换不改变考生成绩的高低顺序。原始成绩低于合格分数线的考生,换算后的转换分在70分以下;原始成绩高于合格分数线的考生,换算后的转换分在70分以上。
笔试全科通过的考生可以报名面试了,2022年上半年教师资格证考试报名预计4月15日开始。教师资格证面试报名实行网上报名,报名在中小学教师资格考试网进行。
,


